C.A.F.S. - Rapport d'activité 2012 - page 8

- 8 -
CAFS - BESANCON
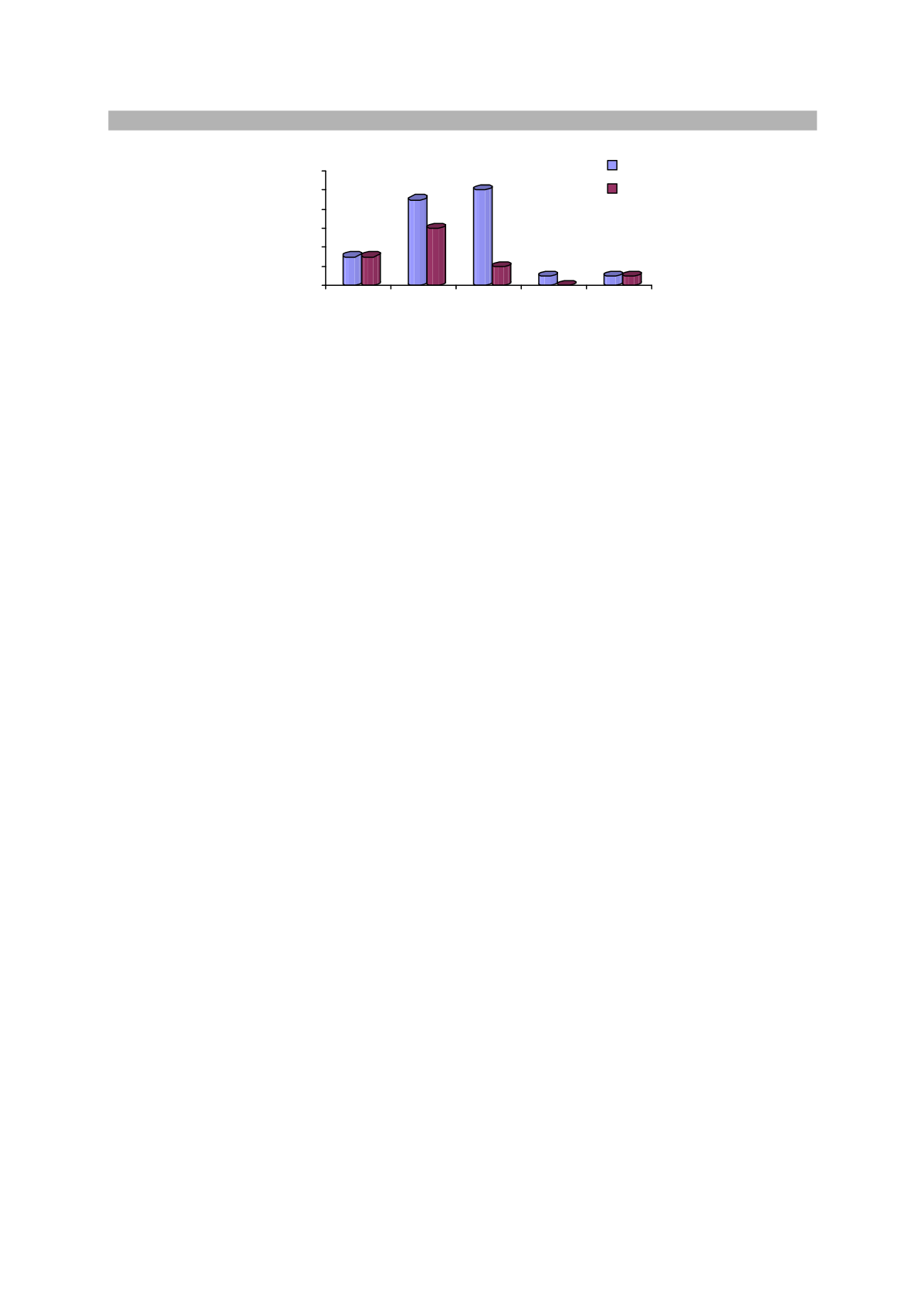
REPARTITION PAR AGE ET PAR SEXE
0
2
4
6
8
10
12
0-5ans 6-10 ans 11-15
ans
16-18
ans
plus de
18 ans
Garçons
Filles
Les jeunes de plus de 18 ans sont de moins en moins nombreux dans la mesure où
l’agrément du service s’arrête à 18 ans.
En 2012, suite à une demande de dérogation pour 2 jeunes majeurs, l’ARS a donné son
accord pour la poursuite de leur accueil jusqu’à leur 19
ème
anniversaire. Tous deux ont signé
un contrat jeune majeur avec l’ASE. Leur départ est prévu en juillet 2013.
De plus, compte tenu du respect de l’agrément du service, les admissions pour des jeunes
de 16-18 ans seront plus rares. En effet, le projet en famille d’accueil doit être bien défini car
une séparation sera effective à 18 ans. Si 1 à 2 années suffisent pour permettre au jeune de
renouer des liens fragiles avec sa famille ou de l’aider à appréhender au mieux sa vie
d’adulte, le service peut alors réaliser l’accueil d’adolescents.
L’accueil d’un jeune en famille d’accueil est toujours un moment important dans sa vie.
L’assistant familial va devenir une figure d’attachement, un repère éducatif, un cadre
sécurisant. De ce fait, cette rencontre doit se faire en douceur et se penser sur un long terme
dans la plupart des accueils.
En 2011, 7 enfants de 11-15 ans étaient accueillis, en 2012, ce sont 12 enfants.
Pour les 16-18 ans en 2011, 6 jeunes étaient dans cette tranche d’âge. En 2012, cela
concerne 1 enfant.
I.5.c. Origine de la demande d’accueil familial :
45% des enfants ont été accueillis à la demande de l'ASE, or ils sont aujourd’hui 50 % à
relever de l'Aide Sociale à l'Enfance.
Cela s'explique par le fait que certains enfants accueillis à la demande des parents sont
ensuite confiés au service de l'Aide Sociale à l'Enfance durant l'accueil.
2 enfants sont concernés dont 1 placement par le juge des enfants et 1 accueil provisoire à
la demande des parents.
Parmi les 36 enfants accueillis au service, 18 enfants relèvent d’un service de l’Aide Sociale
à l'Enfance :
A.S.E. du Doubs : 8 (dont 1 accueil provisoire)
A.S.E. de Haute-Saône : 8 (dont 1 accueil provisoire)
A.S.E. du Jura : 1
A.S.E. du Var : 1 (dû au déménagement des parents)
1,2,3,4,5,6,7 9,10,11,12,13,14,15
Powered by FlippingBook